На главную страницу сайта Опыты по химии Химический Юмор. Научный Юмор Опыты по физике    



Форум Химиков - Энтузиастов. Химия и Химики

Эксперименты по Химии - Практическая Химия - Книги по Химии - Физика – Астрономия – Биология – Научный Юмор
Прежде чем отправить свое сообщение - ознакомьтесь с ПРАВИЛАМИ ФОРУМА.
Прежде чем создать новую тему - воспользуйтесь ПОИСКОМ, возможно, аналогичная тема уже есть

All times are UTC [ DST ]




Post new topic Reply to topic  [ 348 posts ]  Go to page Previous  1 ... 7, 8, 9, 10, 11, 12, 13 ... 18  Next
Author Message
 Post subject: Re: Решаем задачи по АНАЛИТИЧЕСКОЙ ХИМИИ
PostPosted: 11 Mar 2014 00:25 
Offline
Модератор
Модератор
User avatar

Joined: 17 Nov 2009 04:45
Posts: 12843
Location: г. Волгоград
RipNik wrote:
Помогите пожалуйста. Заранее благодарен.
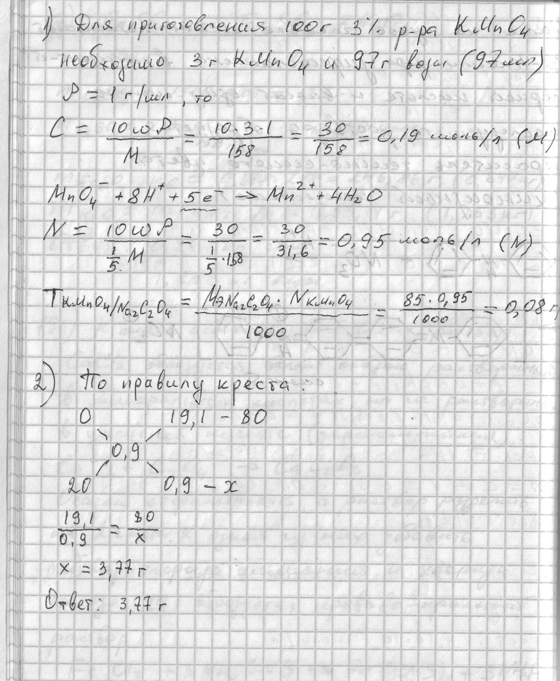
1. В медицинской практике применяют водные растворы перманганата калия разной концентрации. Рассчитайте массу KMnO4 и объем воды, необходимые для приготовления 100 г 3%-ного раствора перманганата калия. Какова молярная и нормальная концентрации и Т(KMnO4 / Na2C2O4) приготовленного раствора (плотность раствора принять за 1 г/мл)?
2. Вычислите, какую массу раствора с массовой долей хлорида натрия 20% необходимо добавить к воде объемом 80 мл для получения изотонического раствора.
3. Сколько граммов буры Na2B4O710H2O надо взять для приготовления 5 кг 4,5%-ного раствора Na2B4O7?
4. а) При какой концентрации (моль/л) NH4NO3 раствор имеет рН 5,6? Напишите уравнение гидролиза этой соли в ионном виде.
б) Рассчитайте рН водного раствора метиламина с концентрацией С(СН3NН3) = 0,12 моль/л.
5. Рассчитайте молярную концентрацию ионов свинца и иодид-ионов в насыщенном растворе свинца иодида. (Ic = 0)

6. Образуется ли осадок бария сульфата при смешивании равных объемов растворов бария хлорида и натрия сульфата, если их исходные концентрации составляют 1,25•10–5 моль/л? (Ic = 0)
7. Как изменится растворимость серебра арсената, если к его насыщенному водному раствору прибавить серебра нитрат до концентрации 1,0•10–3 моль/л? (Ic =/= 0).



9. Подберите реагент для обнаружения ионов натрия:
А. калия гексацианоферрат(II);
В. аммония оксалат;
С. калия дихромат;
Д. калия гексагидроксостибат;
Е. олова(II) хлорид.
Напишите уравнение соответствующей реакции.

9. Предложите схему анализа смеси анионов. Приведите уравнения реакций (характерных и фармакопейных) для обнаружения выделенного иона с указанием аналитического эффекта и свойств образующихся продуктов.
F- CH3COO- PO43-

Attachment:
Image0001.JPG
Image0001.JPG [ 612.78 KiB | Viewed 22994 times ]

Attachment:
Image0002.JPG
Image0002.JPG [ 639.78 KiB | Viewed 22994 times ]

Attachment:
Image0003.JPG
Image0003.JPG [ 592.6 KiB | Viewed 22994 times ]

Attachment:
Image0004.JPG
Image0004.JPG [ 1.33 MiB | Viewed 22994 times ]

Attachment:
Image0005.JPG
Image0005.JPG [ 1.04 MiB | Viewed 22994 times ]

_________________
Accidit in puncto quod non speratur in anno


Top
 Profile E-mail  
 
 Post subject: Re: Решаем задачи по АНАЛИТИЧЕСКОЙ ХИМИИ
PostPosted: 11 Mar 2014 18:19 
Offline
Модератор
Модератор
User avatar

Joined: 17 Nov 2009 04:45
Posts: 12843
Location: г. Волгоград
Stick200 wrote:
помогите пожалуста решит задачку! заранее большое спосибо.
Определите число молей катионов и анионов в 0.1 M 400 гр (р=1.25 гр/мл) раствора Al2(SO4)3 . Степен гидролиза равно 5%. диссоциацией воды перенебреч.

Al2(SO4)3 + 2H2O = 2AlOHSO4 + H2SO4
H2SO4 <=> 2H+ + SO42-
w = CM/10p = 2,74%
mAl2(SO4)3 = 400*2,74/100 = 10,9 г
Из них гидролизуется 5%:
10,9*5/100 = 0,55 г
что составляет 0,55/342 = 0,0016 моль
По уравнению гидролиза nH2SO4 = nAl2(SO4)3, тогда
[H+] = 2*0,0016 = 0,0032 моль
[SO42-] = 0,0016 моль

_________________
Accidit in puncto quod non speratur in anno


Top
 Profile E-mail  
 
 Post subject: Re: Решаем задачи по АНАЛИТИЧЕСКОЙ ХИМИИ
PostPosted: 12 Mar 2014 15:27 
Offline
Посетитель
Посетитель

Joined: 07 Feb 2014 18:55
Posts: 16
рассчитать массу катионов металла, содержащихся в 1л насыщенного раствора следующих малорастворимых электролитов, если известна величина их произведения растворимости: BaCo3, Ks=4*10 в -10 степени
заранее спасибо.


Top
 Profile E-mail  
 
 Post subject: Re: Решаем задачи по АНАЛИТИЧЕСКОЙ ХИМИИ
PostPosted: 12 Mar 2014 20:46 
Offline
Модератор
Модератор
User avatar

Joined: 17 Nov 2009 04:45
Posts: 12843
Location: г. Волгоград
new-fiera wrote:
рассчитать массу катионов металла, содержащихся в 1л насыщенного раствора следующих малорастворимых электролитов, если известна величина их произведения растворимости: BaCo3, Ks = 4*10 в -10 степени
заранее спасибо.

Not Ks. It's Ksp :an:
P = √4*10-10 = 2*10-5 = 0,00002 моль/л
mBa2+ = 0,00002*137 = 0,00275 г

_________________
Accidit in puncto quod non speratur in anno


Top
 Profile E-mail  
 
 Post subject: Re: Решаем задачи по АНАЛИТИЧЕСКОЙ ХИМИИ
PostPosted: 13 Mar 2014 17:25 
Offline
Посетитель
Посетитель

Joined: 07 Feb 2014 20:52
Posts: 14
Помогите с задачками
1.Вычислить концентрацию раствора HNO3, если на титрование 20,00 мл раствора кислоты израсходовано 21,12 мл 0,1120 M NaOH.
2. в растворе концентрация ионов водорода 10 в -5 степени. каково значение pH и pOH этого раствора?
3. построить схему анализа смеси катионов: Ba, Pb, K.


Top
 Profile E-mail  
 
 Post subject: Re: Решаем задачи по АНАЛИТИЧЕСКОЙ ХИМИИ
PostPosted: 13 Mar 2014 22:13 
Offline
Модератор
Модератор
User avatar

Joined: 17 Nov 2009 04:45
Posts: 12843
Location: г. Волгоград
Виктория2001 wrote:
Помогите с задачками
1.Вычислить концентрацию раствора HNO3, если на титрование 20,00 мл раствора кислоты израсходовано 21,12 мл 0,1120 M NaOH.
2. в растворе концентрация ионов водорода 10 в -5 степени. каково значение pH и pOH этого раствора?
3. построить схему анализа смеси катионов: Ba, Pb, K.

1) C1V1 = C2V2
2) pH = -lg[H+] = 5
pOH = 14 - 5 = 9
[OH-] = 10-9

_________________
Accidit in puncto quod non speratur in anno


Top
 Profile E-mail  
 
 Post subject: Re: Решаем задачи по АНАЛИТИЧЕСКОЙ ХИМИИ
PostPosted: 15 Mar 2014 16:54 
Offline
Посетитель
Посетитель

Joined: 07 Feb 2014 20:52
Posts: 14
помогите решить
1. на титрование 20 мл азотной кислоты пошло 15 мл 0,12 моль\л раствора гидроксида натрия. вычислите молярную концентрацию эквивалента и титр раствора азотной кислоты.
2. рассчитайте pH и pOH для водного раствора азотной кислоты с концентрацией 0,01 моль\л без учета ионной силы раствора
3. на титрование 10 мл 0,05 моль\л раствора хлорида натрия пошло 11 мл нитрата серебра. рассчитать молярную концентрацию и титр нитрата серебра по хлору


Top
 Profile E-mail  
 
 Post subject: Re: Решаем задачи по АНАЛИТИЧЕСКОЙ ХИМИИ
PostPosted: 15 Mar 2014 18:06 
Offline
Посетитель
Посетитель

Joined: 07 Feb 2014 18:55
Posts: 16
помогите пожалуйста решить задачку((((

Рассчитать ph водного раствора 2,3% LiOH


Top
 Profile E-mail  
 
 Post subject: Re: Решаем задачи по АНАЛИТИЧЕСКОЙ ХИМИИ
PostPosted: 16 Mar 2014 04:48 
Offline
Посетитель
Посетитель

Joined: 14 Sep 2012 21:03
Posts: 11
Доброго времени суток, уважаемые химики, помогите пожалуйста с решением задач???


Attachments:
DSC_0447.JPG
DSC_0447.JPG [ 1.4 MiB | Viewed 22929 times ]
Top
 Profile E-mail  
 
 Post subject: Re: Решаем задачи по АНАЛИТИЧЕСКОЙ ХИМИИ
PostPosted: 19 Mar 2014 17:28 
Offline
Участник
Участник
User avatar

Joined: 04 Aug 2010 16:29
Posts: 150
Location: Воронеж
Помогите пожалуйста. Заранее благодарен.
2. Хлорид цинка используется в качестве вяжущего и асептического средства. Определите молярную концентрацию, молярную концентрацию эквивалента, массовую долю и титр раствора, содержащего 5 г ZnCl2 в 100 г раствора (р = 1 г/мл).
17. Для оттока раневого содержимого наружно используют 3%, 5% или 10%-ные растворы хлорида натрия. Вычислите, сколько мл воды нужно добавить к 50 г 20%-ного раствора хлорида натрия для получения 3%-ного, 5%-ного и 10%-ного растворов NaCl.
30. Сколько граммов CuSO4*5H2O надо взять, чтобы приготовить 1,5л 0,03 н раствора в пересчете на безводную соль?
44. а) Рассчитайте рН раствора, полученного смешиванием 30 мл 0,05 моль/л раствора аммиака и 170 мл воды.
б) Рассчитайте рН раствора натрия ацетата, содержащего 0,05 г/мл соли. Напишите уравнение гидролиза натрия ацетата в ионном виде.
92. Рассчитайте молярную концентрацию ионов кальция и фторид-ионов в насыщенном растворе кальция фторида. (Ic = 0)

96. Будет ли выпадать осадок кальция оксалата при смешивании равных объемов растворов кальция нитрата и натрия оксалата, если их исходные концентрации составляют 1,0•10–4 моль/л? (Ic = 0)

114. Как изменится растворимость кадмия карбоната, если к его насыщенному водному раствору прибавить кадмия хлорида до концентрации 5,0•10–3 моль/л? Задачу решить с учетом ионной силы.

141. Вычислите ЭДС гальванического элемента:
Al|Al3+ (0,05M)||Ag+ (0,03M)|Ag

177. Подберите реагент для обнаружения ионов аммония:
А. калия дихромат;
В. реактив Несслера;
С. натрия гидрофосфат;
Д. цинкуранилацетат;
Е. калия гексагидроксостибат.
Напишите уравнение соответствующей реакции.

198. Предложите схему анализа смеси анионов. Приведите уравнения реакций (характерных и фармакопейных) для обнаружения выделенного иона с указанием аналитического эффекта и свойств образующихся продуктов.
SO32- B4O72- S2-


Top
 Profile E-mail  
 
 Post subject: Re: Решаем задачи по АНАЛИТИЧЕСКОЙ ХИМИИ
PostPosted: 22 Mar 2014 12:37 
Offline
Модератор
Модератор
User avatar

Joined: 17 Nov 2009 04:45
Posts: 12843
Location: г. Волгоград
RipNik wrote:
7. Как изменится растворимость серебра арсената, если к его насыщенному водному раствору прибавить серебра нитрат до концентрации 1,0•10–3 моль/л? (Ic =/= 0).

Упустил из виду, что катионы одноименные (электролит не индифферентный) :ah: . Тогда формула растворимости в данном случае:
S = Ksp/C3AgNO3*f3Ag+*fAsO43-
S = 10-22/10-9*0,9643*0,72 = 1,55*10-13 моль/л
1,39*10-6/1,55*10-13 = 8,97*106
Уменьшится в 8,97*106 раз.

_________________
Accidit in puncto quod non speratur in anno


Top
 Profile E-mail  
 
 Post subject: Re: Решаем задачи по АНАЛИТИЧЕСКОЙ ХИМИИ
PostPosted: 24 Mar 2014 10:09 
Offline
Посетитель
Посетитель

Joined: 07 Feb 2014 18:55
Posts: 16
уважаемые химики, помогите Рассчитать ph водного раствора 2,3% LiOH.... пожалуйста.


Top
 Profile E-mail  
 
 Post subject: Re: Решаем задачи по АНАЛИТИЧЕСКОЙ ХИМИИ
PostPosted: 24 Mar 2014 14:55 
Offline
Модератор
Модератор
User avatar

Joined: 17 Nov 2009 04:45
Posts: 12843
Location: г. Волгоград
new-fiera wrote:
уважаемые химики, помогите Рассчитать ph водного раствора 2,3% LiOH.... пожалуйста.

рН = 14 + lg0,96 = 13,98

_________________
Accidit in puncto quod non speratur in anno


Top
 Profile E-mail  
 
 Post subject: Re: Решаем задачи по АНАЛИТИЧЕСКОЙ ХИМИИ
PostPosted: 24 Mar 2014 22:15 
Offline
Посетитель
Посетитель

Joined: 24 Mar 2014 22:13
Posts: 7
Помогите решить пжл:
К 550 мл 0,1925М HCl прибавили 50 мл раствора HCl с титром 0,02370. Вычислить нормальность и титр полученного раствора.
Спасибо.


Top
 Profile E-mail  
 
 Post subject: Re: Решаем задачи по АНАЛИТИЧЕСКОЙ ХИМИИ
PostPosted: 24 Mar 2014 22:30 
Offline
Модератор
Модератор
User avatar

Joined: 17 Nov 2009 04:45
Posts: 12843
Location: г. Волгоград
qwaka wrote:
Помогите решить пжл:
К 550 мл 0,1925М HCl прибавили 50 мл раствора HCl с титром 0,02370. Вычислить нормальность и титр полученного раствора.
Спасибо.

N = 1000T/M1/z
N3 = (N1V1 + N2V2)/V3

_________________
Accidit in puncto quod non speratur in anno


Top
 Profile E-mail  
 
 Post subject: Re: Решаем задачи по АНАЛИТИЧЕСКОЙ ХИМИИ
PostPosted: 24 Mar 2014 22:46 
Offline
Посетитель
Посетитель

Joined: 24 Mar 2014 22:13
Posts: 7
Upsidesium wrote:
qwaka wrote:
Помогите решить пжл:
К 550 мл 0,1925М HCl прибавили 50 мл раствора HCl с титром 0,02370. Вычислить нормальность и титр полученного раствора.
Спасибо.

N = 1000T/M1/z
N3 = (N1V1 + N2V2)/V3

я кстати там опечатался - 0,1925н HCl. это не влияет на решение?


Last edited by qwaka on 24 Mar 2014 22:52, edited 2 times in total.

Top
 Profile E-mail  
 
 Post subject: Re: Решаем задачи по АНАЛИТИЧЕСКОЙ ХИМИИ
PostPosted: 24 Mar 2014 22:50 
Offline
Модератор
Модератор
User avatar

Joined: 17 Nov 2009 04:45
Posts: 12843
Location: г. Волгоград
В данном случае нет.

_________________
Accidit in puncto quod non speratur in anno


Top
 Profile E-mail  
 
 Post subject: Re: Решаем задачи по АНАЛИТИЧЕСКОЙ ХИМИИ
PostPosted: 24 Mar 2014 22:53 
Offline
Посетитель
Посетитель

Joined: 24 Mar 2014 22:13
Posts: 7
Upsidesium wrote:
В данном случае нет.


Посмотрите мой вариант решения, может быть, увидите ошибку. у меня просто ступор уже


mобщ = 0,02370*50 + 0,1925*36,5 = 8,21125
Vобщ = 550+50 = 600

T(HCl) = m/v = 8,2125/600 = 0,01369 г/мл
N = T *1000/Э = 0,01369*1000/36,5 = 0,3749

и с ответом у меня ественно не сошлось :(


Top
 Profile E-mail  
 
 Post subject: Re: Решаем задачи по АНАЛИТИЧЕСКОЙ ХИМИИ
PostPosted: 25 Mar 2014 14:35 
Offline
Посетитель
Посетитель

Joined: 24 Mar 2014 22:13
Posts: 7
Вообщем писал сегондян задания, попались другие. Вроде написал, но потом скажут результаты и если что-то неправильно нужно будет переделать. Посмотрите, пожалуйста, задания, чтобы я был готов в случае чего. Спасибо. В скобках написал ответы, которые запомнил.

1. Имеется 0,1046н HCl. Определить молярность Т(HCl) и T(HCl/CaO)
T(HCl) = N(HCl)*Э(HCl)/1000 = 0.0038
T(HCl/CaO) = T(HCl)*Э(CaO)/Э(HCl) = 0.0029
Cm = N(HCl)/z*v = 0.1046/1 = 0.1046
2. Сколько мл соляной кислоты (р=1,198) необходимо для приготовления 1,0л 0,1н раствора?
3. Навеску 0,6г H2C2O4 растворили в мерной колбе ёмкостью 100мл. На титрование 20 мл полученного раствора израсходывали 18,34 мл NaOH. Определить нормальность раствора NaOH и его титр по H2C2O4
4.Сколько воды нужно прибавить к 150 мл 46% раствора HNO3 чтобы превратить его в 10%. (690 получилось) (решил пропорцией 150/10 = х/46 - правильно ли это?)


Top
 Profile E-mail  
 
 Post subject: Re: Решаем задачи по АНАЛИТИЧЕСКОЙ ХИМИИ
PostPosted: 25 Mar 2014 21:14 
Offline
Модератор
Модератор
User avatar

Joined: 17 Nov 2009 04:45
Posts: 12843
Location: г. Волгоград
qwaka wrote:
Посмотрите мой вариант решения, может быть, увидите ошибку. у меня просто ступор уже


Quote:
N = 1000T/M1/z = 0,65 моль/л
m2 = MVN = 36,5*0,05*0,65 = 1,1863 г
m1 = MVN = 36,5*0,55*0,1925 = 3,8644 г
mобщ = 1,1863 + 3,8644 = 5,0507 г

mобщ = 0,02370*50 + 0,1925*36,5 = 8,21125
Vобщ = 550+50 = 600 мл
T(HCl) = m/v = 8,2125/600 = 0,01369 г/мл 5,0507/600 = 0,0084 г/мл
N = T*1000/Э = 0,01369 0,0084*1000/36,5 = 0,3749 0,2306 моль/л

_________________
Accidit in puncto quod non speratur in anno


Top
 Profile E-mail  
 
Display posts from previous:  Sort by  
Post new topic Reply to topic  [ 348 posts ]  Go to page Previous  1 ... 7, 8, 9, 10, 11, 12, 13 ... 18  Next

All times are UTC [ DST ]


Who is online

Users browsing this forum: No registered users and 7 guests


You cannot post new topics in this forum
You cannot reply to topics in this forum
You cannot edit your posts in this forum
You cannot delete your posts in this forum
You cannot post attachments in this forum

Search for:
Jump to:  

[Сообщить об ошибке, испорченном вложении, битой ссылке]
Powered by phpBB © 2000, 2002, 2005, 2007 phpBB Group