На главную страницу сайта Опыты по химии Химический Юмор. Научный Юмор Опыты по физике    



Форум Химиков - Энтузиастов. Химия и Химики

Эксперименты по Химии - Практическая Химия - Книги по Химии - Физика – Астрономия – Биология – Научный Юмор
Прежде чем отправить свое сообщение - ознакомьтесь с ПРАВИЛАМИ ФОРУМА.
Прежде чем создать новую тему - воспользуйтесь ПОИСКОМ, возможно, аналогичная тема уже есть

All times are UTC [ DST ]




Post new topic Reply to topic  [ 1 post ] 
Author Message
 Post subject: Как нужно изучать механизм реакции?
PostPosted: 21 Oct 2020 12:22 
Offline
Начинающий
Начинающий
User avatar

Joined: 21 Oct 2020 11:32
Posts: 44
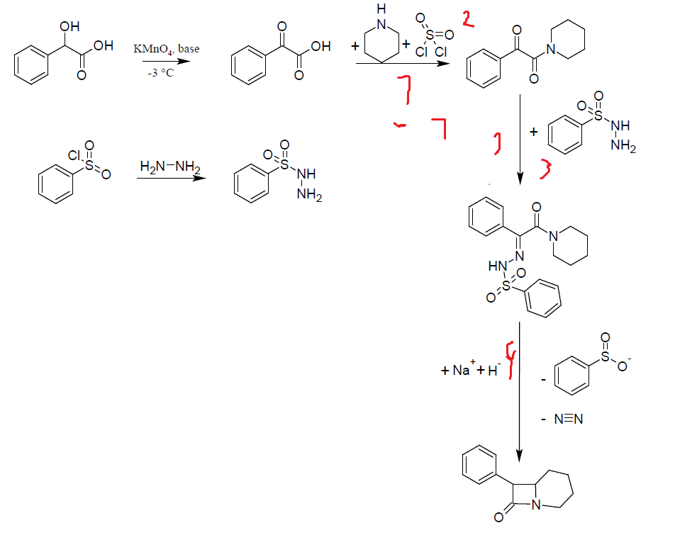
Как нужно изучать механизм реакции? И нужно ли вообще? Извините за школьный вопрос, но после прочтения и конспектирования всей школьной химии я так и не понял. Не ужели все реакции идут только по шаблонам? В учебнике был параграф о механизмов реакции. Как я его понял что вот они есть и всё. Учитель мне перемерено тоже самое сказал. Я не понял как их использовать почему тут, там. Вот к примеру есть некая реакция. Как происходит 2,3,4 реакция. Можете скинуть какое-либо руководств, пособие, методичку, учебник чтоб понят как проводит реакции (желательно) шаблонов.


Attachments:
16031459485520.png
16031459485520.png [ 47.81 KiB | Viewed 17501 times ]

_________________
Так!
Top
 Profile E-mail  
 
Display posts from previous:  Sort by  
Post new topic Reply to topic  [ 1 post ] 

All times are UTC [ DST ]


Who is online

Users browsing this forum: No registered users and 15 guests


You cannot post new topics in this forum
You cannot reply to topics in this forum
You cannot edit your posts in this forum
You cannot delete your posts in this forum
You cannot post attachments in this forum

Search for:
Jump to:  

[Сообщить об ошибке, испорченном вложении, битой ссылке]
Powered by phpBB © 2000, 2002, 2005, 2007 phpBB Group